-
[ML] Linear RegressionAI 2019. 12. 11. 18:26
Regression : Supervised Learning 중에서 결과 예측값이 범위값인 경우 사용하는 모델
Hypothesis H(x) = Wx + b

H(x) = Wx + b Which Hypothesis is better?
- Cost Function ( Loss )
* ( H(x) - y )^2 // 제곱을 하는 이유 : +- 를 없애고 차이가 클 때 패널티를 크게하기 위해
* 예측값과 실제값의 차이


cost(W) graph How to minimize cost?
- Gradient descent algorithm
* Minimize cost function
* Gradient descent is used many minimization problems
* For a given cost function, cost(W,b), it will find W,b to minimize cost
* It can be applied to more general function : cost(w1, w2, ...)
* cost(W,b)의 값이 감소하지 않을 때 까지 W를 계속해서 변경한다.

미분을 할 때 계산의 편의 성을 위해 2를 나누어 준다. 값의 감소 유무만을 판단하기 때문에 의미는 없다. 
a = Learning Rate
Multiple Feature Linear Regression
Multiple Linear Regression
- 수치형 설명변수 X와 연속형 숫자로 이루어진 종속변수 Y 간의 관계를 선형으로 가정하고 이를 가장 잘 표현할 수 있는 회귀계수를 데이터로부터 추정하는 모델이다.
- 회귀계수들은 모델의 예측값과 실제값의 차이, 즉 error sum of squares를 최소로 하는 값들이다. 이를 만족하는 최적의 계수들은 회귀계수에 대해 미분한 식을 0으로 놓고 풀면 명시적인 해를 구할 수 있다.

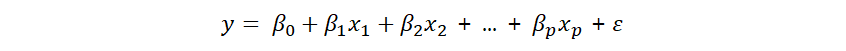
설명 변수 X가 p개인 Multiple Linear Regression의 일반 식 
33명의 성인 여성에 대한 나이와 혈압 데이터 기반의 예측 모델 ( 종속 변수 Y = 1.222 ) 
Cost Function for Multiple Feature Linear Regression 
Matrix Multiplication을 이용한 hypothesis 표현 [ H( X ) = XW // X = Instance ] 'AI' 카테고리의 다른 글
[ML] Logistic Regression (Classification) (0) 2019.12.11 [DL] Neural Nets for XOR (0) 2019.12.11 머신러닝의 개념과 용어 (0) 2019.12.09 Nvidia Driver & CUDA install (0) 2019.10.01 Machine Learning (0) 2019.07.16