-
[ML] Logistic Regression (Classification)AI 2019. 12. 11. 18:56


Pass / Fail based on study hours 예제에서 Linear Regression을 적용했을 경우 위와 같은 예제에서 Linear Regression을 적용했을 경우 hour가 커졌을 때 예측값이 1이 넘어가게 되며 hour가 큰 인스턴스가 있을 경우 pass와 fail을 구분하는 hour가 크게 되어 pass인 인스턴스의 예측값이 fail이 될 수 있다.
Logistic Classification Hypothesis
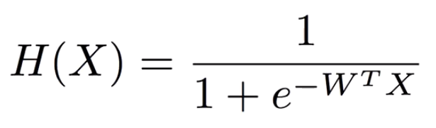
이러한 문제를 해결하기 위해 예측값의 범위를 0 ~ 1로 압축시키는 함수(Sigmoid Function)가 필요하다.

g(z) = 1 / (1+e^(-1). = Sigmoid Function = Logistic Function z = WX 라고 하고 H(X) = g(z) = g(WX) 라고 한다면 위의 문제를 해결할 수 있다.

Logistic Hypothesis
Logistic Classification Cost Function

새로운 Hypothesis를 이전 Cost Function에 그대로 적용하면 오른쪽과 같은 그래프가 나오기 때문에 이전 Cost Fucntion을 이용할 수 없다. 

Cost Function for Logistic Regression 
예측값이 실제값과 다르게 되면 (예측이 틀렸을 경우) Cost값은 무한대에 가까워지며 예측값이 실제값과 같게 되면 (예측이 맞았을 경우) Cost값은 0이 된다.
Multinomial Classification


출처 : https://hunkim.github.io/ml/lec6.pdf 각 예측값에 대해 sigmod function을 적용하여 결과값을 얻게 되면 계산이 번거로워진다. 이를 해결하기 위해 나온 알고리즘이 softmax이다. softmax 알고리즘은 예측값의 범위가 0~1이 되도록 하며 모든 예측값의 합이 1이 되도록하는 알고리즘이다.
'AI' 카테고리의 다른 글
Feature Support Maxtrix (0) 2020.05.29 [DL] Dropout (0) 2019.12.27 [DL] Neural Nets for XOR (0) 2019.12.11 [ML] Linear Regression (0) 2019.12.11 머신러닝의 개념과 용어 (0) 2019.12.09